résumélinkedin logogithub logo
Hi! I'm ShreeshailI am a second year Bachelor of Computer science (Advanced) student. I have a keen interest in machine learning and data science and aspire to be a researcher in this field.This website is a fun collection of my projects and recent updates. For a more succinct overview of my career have a look at my resume here. I listen to different genre of music you can see the current song I'm listening to bellow. Also, here are my all time favourite recommendations, that you might enjoy 😃
Currently Listening
Vinyl Player
My favourites
I am keen to do projects and learn new technologies. I currently am working as a researcher at the Australian Institute of Machine learning. I also work at Budi as a software engineer. Bellow are the latest updates regarding my work.Updates:Starting project with Women's and Children Hospital and AIML11/24 Started at AIML under Dr. Dhani Dharmaprani08/24 Started at Budi as Software Engineer01/24 Technologies:Throughout various projects and work experience I have learnt/ am actively using these technologies.
PythonlogoPythonPyTorchlogoPyTorchNumPylogoNumPypandaslogopandasscikit-learnlogoscikit-learnC++logoC++OpenCVlogoOpenCVTensorflowlogoTensorflowDockerlogoDockerNext.jslogoNext.jsReactlogoReactnodelogonodeawslogoawstailwindlogotailwindRlogoRTypeScriptlogoTypeScriptJavaScriptlogoJavaScriptHTMLlogoHTMLCSSlogoCSSMatlablogoMatlab
Project Description Image
Infinite PlatformerA platformer game built on C++ using SFML library. Has physics mechanics with collision and gravity. Uses infinite generation algorithm to make never ending game. Saves current scores and high scores for further play.
Project Description Image
Project Description Image
Project Description Image
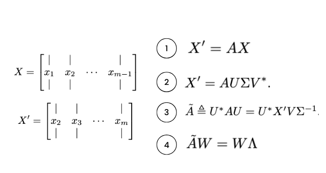
Arrhythmia detection using DMDThis research project looks into using DMD as a feature engineering method to classify arrhythmia. Uses several ML models for classification including Random Forest, SVM and XGBoost.
Project Description Image
Project Description Image
Project Description Image
Mahjong Score Keeping BotThis discord bot keeps track of the scores of mahjong players in the university mahjong club. Integrates into a database and has commands for retrieval of leaderboard and specific game and player stats.
Project Description Image
Project Description Image
Spotify pomodoro clockThis app has a pomodoro clock, spotify web player and Todo list. The main purpose is to improve productivity by reducing distractions. Calender also being added before being launched.
You can contact me through email or linkedin. I constantly monitor these platforms and should comeback to you within a day. Hope you liked my portfolio and would love to hear from you.